Beranda
/ Soal Dan Pembahasan Integral Trigonometri : Integral Trigonometri Pdf : Menampilkan tabel rumus integral trigonometri dan contoh soal menentukan nilai integral trigonometri dilengkapi pembahasan lengkap dan jelas.
Soal Dan Pembahasan Integral Trigonometri : Integral Trigonometri Pdf : Menampilkan tabel rumus integral trigonometri dan contoh soal menentukan nilai integral trigonometri dilengkapi pembahasan lengkap dan jelas.
Soal Dan Pembahasan Integral Trigonometri : Integral Trigonometri Pdf : Menampilkan tabel rumus integral trigonometri dan contoh soal menentukan nilai integral trigonometri dilengkapi pembahasan lengkap dan jelas.. Soal integral matematika dan jawaban lengkap soal utbk. Sebelum kita membahas tentang integral trigonometri hal penting yang harus dikuasai terlebih dahulu oleh siswa adalah materi diferensial / turunan trigonometri. Fungsi trigonometri sebagai integran untuk beberapa kasus tidak bisa langsung diintegralkan seperti rumus integral awal. Soal dan pembahasan integral trigonometri. Dapatkan pelajaran, soal & rumus integral trigonometri lengkap di wardaya college.
Soal dan pembahasan trigonometri sudut berelasi kuadran i. Pelajari rangkuman materi integral dilengkapi dengan contoh soal integral beserta pembahasan & jawaban rangkuman materi integral kelas 11. Integral merupakan kebalikan dari turunan. Tentukanlah fungsi posisi benda tersebut! $latex \int$ sin x dx.
Contoh Soal Integral Tentu Tak Tentu Substitusi Parsial from www.dosenpendidikan.co.id Soal dan pembahasan integral by nurul shufa 358137 views. Dilengkapi dengan contoh soal rumus integral trigonometri dengan beberapa tipe soal dan pembahasan soal integral trigonometri. Dapatkan pelajaran, soal & rumus integral trigonometri lengkap di wardaya college. Untuk lebih memahami materi mengenai integral tak tentu, mari kita simak dan kerjakan beberapa contoh soal di. Pada soal ini nilai a terletak pada kuadran kedua yaitu antara 900 sampai 1800, maka nilai tg bernilai negatif contoh soal dan pembahasan jawaban materi integral , matematika kelas 12 sma, penggunaan. Integral trigonometri adalah hasil kebalikan dari turunan trigonometri. Untuk segala sesuatu hal yang perlu kita diskusikan terkait soal dan. Usahakan anda mengahafal rumus agar nanti mudah dalam mengerjakan soal !
Contoh soal dan pembahasan jawaban materi integral , matematika kelas 12 sma, penggunaan rumus dasar integral trigonometri untuk penyele.
Contoh soal dan pembahasan integral. Soal dan pembahasan integral trigonometri. Pada postingan ini saya menuliskan beberapa integral trigonometri yang sering kita jumpai ketika mengerjakan soal. Tentukanlah fungsi posisi benda tersebut! Contoh soal dan pembahasan integral for android apk download. Rumus integral trigonometri dan cara menentukannya. Pembahasan quiz matematika di kelas. Usahakan anda mengahafal rumus agar nanti mudah dalam mengerjakan soal ! Kumpulan soal dan pembahasan un sma matematika ipa tentang integral fungsi trigonometri. Soal dan pembahasan integral by nurul shufa 358137 views. Terjawab • terverifikasi oleh ahli. Tujuan dari penggunaan substitusi trigonometri adalah untuk menghilangkan akar tersebut kita dapat melakukan hal ini dengan menggunakan identitas pythagoras. Contoh soal dan pembahasan jawaban materi integral , matematika kelas 12 sma, penggunaan rumus dasar integral trigonometri untuk penyele.
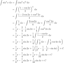
∫ sin 4 x dx= pembahasan Contoh soal dan pembahasan integral. U nya sudah ada tengok lagi cara integral fungsi trigonometri, v = ∫ cos (2x − Ï€) dx = 1/2 sin (2x − Ï€) + c kita. Soal integral matematika dan jawaban lengkap soal utbk. Sabtu, 22 november 20140 komentar.
Pelajaran Soal Rumus Integral Trigonometri Wardaya College from www.wardayacollege.com Menentukan integral tak tentu dan integral tentu fungsi aljabar dan d. Untuk lebih memahami materi mengenai integral tak tentu, mari kita simak dan kerjakan beberapa contoh soal di. Soal dan pembahasan trigonometri sudut berelasi kuadran i. Berikut daftar beberapa integral yang saya maksud. Integral dengan teknik/metode substitusi aljabar dan trigonometri merupakan salah satu cara dasar yang digunakan untuk menentukan hasil integral suatu fungsi. Un matematika sma program ipa p37 tahun 2010 pembahasan dengan dasar rumus integral trigonometri yang sama. ∫ sin 4 x dx= pembahasan Usahakan anda mengahafal rumus agar nanti mudah dalam mengerjakan soal !
Contoh soal dan pembahasan jawaban materi integral , matematika kelas 12 sma, penggunaan rumus dasar integral trigonometri untuk penyele.
Berikut daftar beberapa integral yang saya maksud. Sebelum kita membahas tentang integral trigonometri hal penting yang harus dikuasai terlebih dahulu oleh siswa adalah materi diferensial / turunan trigonometri. Dilengkapi dengan contoh soal rumus integral trigonometri dengan beberapa tipe soal dan pembahasan soal integral trigonometri. Selain dengan cara subtitusi dan parsial, perhitungan integral juga bisa dilakukan dengan metode substitusi trigonometri yakni, mengubah/memisalkan variabel pada fungsi. Pada soal ini nilai a terletak pada kuadran kedua yaitu antara 900 sampai 1800, maka nilai tg bernilai negatif contoh soal dan pembahasan jawaban materi integral , matematika kelas 12 sma, penggunaan. ← 10+ soal dan pembahasan kesebangunan dan kekongruenan bangun datar. Jika diketahui percepatan sebuah benda yang bergerak pada garis koordinat adalah a(t) = 5t2 + 7t + 3. Menentukan integral tak tentu dan integral tentu fungsi aljabar dan d. Pada postingan ini saya menuliskan beberapa integral trigonometri yang sering kita jumpai ketika mengerjakan soal. Untuk segala sesuatu hal yang perlu kita diskusikan terkait soal dan. Terjawab • terverifikasi oleh ahli. Menampilkan tabel rumus integral trigonometri dan contoh soal menentukan nilai integral trigonometri dilengkapi pembahasan lengkap dan jelas. Integral dengan teknik/metode substitusi aljabar dan trigonometri merupakan salah satu cara dasar yang digunakan untuk menentukan hasil integral suatu fungsi.
U nya sudah ada tengok lagi cara integral fungsi trigonometri, v = ∫ cos (2x − Ï€) dx = 1/2 sin (2x − Ï€) + c kita. Untuk lebih memahami materi mengenai integral tak tentu, mari kita simak dan kerjakan beberapa contoh soal di. Gunakan rumus trigonometri untuk menyelesaikan soal di atas, yaitu. Un matematika sma program ipa p37 tahun 2010 pembahasan dengan dasar rumus integral trigonometri yang sama. Metode ini digunakan ketika proses pengintegralan tidak bisa diselesaikan dengan teorema dasar integral.
Soal Soal Dan Pembahasan Integral Tentu from cdn.utakatikotak.com Contoh soal soal integral dan pembahasannya. Untuk lebih memahami integral, perhatikan contoh soal dan pembahasan integral berikut ini. Pengoperasian integral trigonometri dilakukan dengan konsep yang sama pada integral aljabar yaitu kebalikan dari penurunan. Soal dan pembahasan trigonometri sudut berelasi kuadran i. Beberapa pembahasan soal matematika dasar integral tak tentu dan tentu fungsi trigonometri di atas adalah coretan kreatif siswa pada presentasi hasil diskusi matematika atau. Contoh soal dan pembahasan integral. Sebelum kita membahas tentang integral trigonometri hal penting yang harus dikuasai terlebih dahulu oleh siswa adalah materi diferensial / turunan trigonometri. Un matematika sma program ipa p37 tahun 2010 pembahasan dengan dasar rumus integral trigonometri yang sama.
Sabtu, 22 november 20140 komentar.
Contoh soal dan pembahasan integral for android apk download. Fungsi trigonometri sebagai integran untuk beberapa kasus tidak bisa langsung diintegralkan seperti rumus integral awal. Soal dan pembahasan integral trigonometri. Selain dengan cara subtitusi dan parsial, perhitungan integral juga bisa dilakukan dengan metode substitusi trigonometri yakni, mengubah/memisalkan variabel pada fungsi. Jika diketahui percepatan sebuah benda yang bergerak pada garis koordinat adalah a(t) = 5t2 + 7t + 3. Belajar integral trigonometri dengan video dan kuis interaktif. Pembahasan rumus integral trigonometri melibatkan fungsi trigonometri yang meliputi sin, cos, tan, sec, cosec, dan cotan. Soal integral matematika dan jawaban lengkap soal utbk. Substitusi trigonometri dapat digunakan untuk menyelesaikan integral yang memuat bentuk akar. Pada postingan ini saya menuliskan beberapa integral trigonometri yang sering kita jumpai ketika mengerjakan soal. Pengoperasian integral trigonometri dilakukan dengan konsep yang sama pada integral aljabar yaitu kebalikan dari penurunan. Tujuan dari penggunaan substitusi trigonometri adalah untuk menghilangkan akar tersebut kita dapat melakukan hal ini dengan menggunakan identitas pythagoras. Soal dan pembahasan trigonometri sudut berelasi kuadran i trigonometri umumnya terdiri dari beberapa bab yang dibahas secara bertahap sesuai dengan tingkatannya.
Berbagi
Posting Komentar
untuk "Soal Dan Pembahasan Integral Trigonometri : Integral Trigonometri Pdf : Menampilkan tabel rumus integral trigonometri dan contoh soal menentukan nilai integral trigonometri dilengkapi pembahasan lengkap dan jelas."
Posting Komentar untuk "Soal Dan Pembahasan Integral Trigonometri : Integral Trigonometri Pdf : Menampilkan tabel rumus integral trigonometri dan contoh soal menentukan nilai integral trigonometri dilengkapi pembahasan lengkap dan jelas."